Informações Técnicas
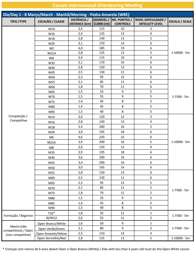
Dia 1: 8 março (sábado) - Distância Média (WRE)
Pedra Amarela (Cascais) - Mapa novo produzido em Junho/2024 de acordo com ISOM 2017-2 Ver-5
Cartógrafo: Tiago Aires
Escalas: 1:7500 e 1:10000
Equidistância: 5 m
Traçador de Percursos: João Pedro Valente


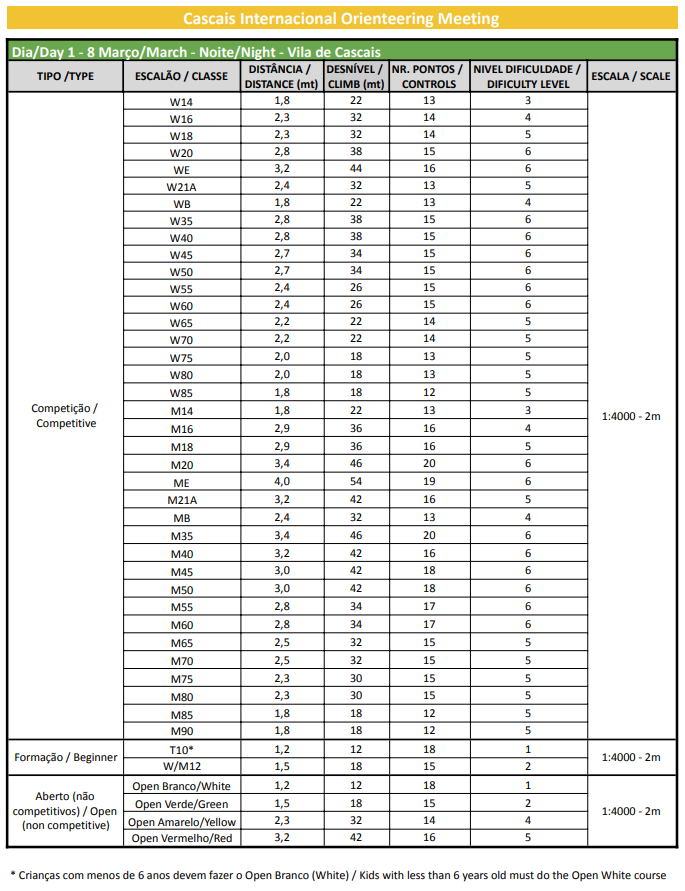
Dia 1: 8 março (sábado) - Sprint Noturno
Vila de Cascais - Mapa novo produzido em Setembro/2024 de acordo com ISSprOM 2019-2
Cartógrafo: Acácio Porta Nova
Escala: 1:4000
Equidistância: 2.5 m
Traçador de Percursos: Luís Santos


Dia 1: 8 março (sábado) - Orientação de Precisão (PreO)
Pedra Amarela (Cascais) - Mapa novo produzido em Julho/2024 de acordo com ISSprOM 2019-2
Cartógrafo: Tiago Aires
Escalas: 1:4000
Equidistância: 2,5 m
Traçador de Percursos: Luis Gonçalves

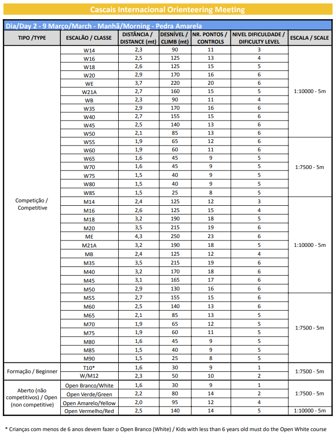
Dia 2: 9 março (domingo) - Distância Média
Pedra Amarela (Cascais) - Mapa novo produzido em Junho/2024 de acordo com ISOM 2017-2 Ver-5
Cartógrafo: Tiago Aires
Escalas: 1:7500 e 1:10000
Equidistância: 5 m
Traçador de Percursos: João Pedro Valente


Mapas antigos:




